마케팅 새내기를 위한 실장님의 월요일 특강
이 글은 매주 월요일에 진행된 마케팅 수업을 통해 얻은 경험과 배운 내용 일부분을 정리한 것입니다. 마케팅의 기초부터 고급 전략까지, 실장님이 제공하신 귀중한 지식과 실제 사례 분석을 바탕으로, 마케팅 분야에서의 첫 발걸음을 떼는 이들에게 유용한 인사이트를 제공합니다.
목차 07.17.2024
•
손익과 수익성
•
플랫폼 수익성의 중요지표
•
IR 자료 만들기
•
IR의 10계명
손익이란?
기업의 수익과 비용 간의 차이, 또는 투입한 금액과 지출한 금액 간의 차이로 이에 따라 이익(또는 손실)이 결정됩니다.
손익 (損益)은 “profit and loss”로 기업에서는 흔히 손익계산서 (P&L statement)로 특정 기간 동안 회사의 수익, 비용, 지출 및 이익/손실을 요약할 때 사용하는데요! 이 정보로 회사의 이익을 창출하고 비용을 관리하는 시스템을 구축합니다.
그리고 손익계산서는 모든 상장 회사가 분기별 및 연간으로 발행하는 세 가지 재무제표 중 하나로, 대차대조표와 현금흐름표와 함께 발행됩니다.
대차대조표와는 달리 손익계산서는 현금흐름표와 마찬가지로 일정 기간 동안 계정의 변화를 보여주는 것이 특징입니다.
이익과 공헌이익
공헌이익이 중요한 이유는 생존할 수 있는 이익수준을 쉽게 알려준다.
이익 (profit) = 매출 (revenue) - 비용 (costs)
이익 = 매출 - 변동비 (variable costs) - 고정비 (fixed costs)
공헌이익 (contribution margin) = 매출 - 변동비 = 이익 + 고정비
영업이익 (operating income) = 공헌이익 - 고정비
여기서 변동비 (variable costs)는 회사가 생산하는 상품이나 서비스의 수량과 관련하여 발생하는 모든 비용을 말합니다. 따라서 회사의 변동비는 생산량에 따라 증가할 수도 있고 감소할 수도 있는 것이 특징이죠! 여기엔 흔히 원재료, 유틸리티 비용 (전기세, 인터넷 요금 등), 노무비 등이 있습니다.
반대로 고정비 (fixed costs)는 판매량에 관계없이 일정한 비용으로 임대료, 인건비, 시설유지비, 장비료 등이 포함됩니다.
이렇게 이익은 총 매출에서 변동비와 고정비를 뺀 값이고, 공헌이익은 매출에서 변동비만 뺀 값 또는 이익에서 고정비만 더한 값입니다.
공헌이익은 제품의 전반적인 비용 및 판매 가격 계획에 사용되는 손익분기점 분석의 기준점이며, 제품 판매로부터 나오는 고정 비용과 이익의 구성 요소를 구분하는데 도움이 됩니다. 또한 제품의 판매 가격 범위, 예상 이익 수준, 수수료의 구조 등을 결정하는 데 중요한 역할을 합니다.
흔히 손익분기점 (Break-Even-Point)를 넘어야 돈을 번다고 하는데요,
위 그래프와 같이 손익분기점은 총 비용과 매출이 만나는 지점으로 단위당 공헌이익으로 고정비를 모두 메꿀 수 있는 판매량을 말합니다.
손익분기점 판매량에서는 이익이 0원이지만 이 지점을 넘어서면 공헌이익이 증가하면서, 고정비를 커버하며 순이익이 창출되는거죠!
예시)
스피커 회사의 경영 회계를 담당하고 있는 A씨. 그는 회사의 고정비는 5,000,000만원이고 스피커 하나를 생산하는데 드는 변동비는 5만원이라고 측정했습니다. 이 스피커는 30만원의 가격에 판매되는 중입니다. 이 회사의 손익분기점은?
손익분기점 수량 = ₩5,000,000 / (₩300,000 - ₩50,000) = 20개
단위당 공헌이익 = ₩300,000 - ₩50,000 = ₩250,000
스피커 20개를 팔 때:
스피커 10개를 팔 때:
스피커 30개를 팔 때:
매출이 나온다는 것은 BEP를 달성했다는 것이고, 즉 돈을 번다는 얘기다.
플랫폼 수익성의 중요지표 - LTV
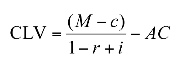
고객 생애 가치 (Lifetime Value, LTV)는 한 명의 고객이 기업과 거래를 시작한 다음 멈출 때까지의 기간 동안 기업에 얼마만큼의 이익을 가져왔는지를 계산한 결과입니다.
소비자 생애 가치(Customer Lifetime Value/ CLV)는 고객 한 명이 비즈니스에서 평생 발생시킬 매출이자 고객 한 명의 누적 결제 금액으로, 높을 수록 장기적으로 기업과 거래를 계속하고 좋은 관계가 형성되었다는 뜻입니다!
고객 충성도
거래 수/ 구매 금액
LTV
기존 고객 기반 
고객 생애 가치 (LTV)는 유저가 평생 발생시킬 수익을 전부 더한 값에서 유저를 획득하기 위해 투자한 비용 (CAC, Customer Acquisition Cost)을 빼서 얻을 수 있습니다.
출처: 조성문의 블로그
•
M: 고객 1인당 평균 매출. 보통 1년 단위로 계산한다.
•
c: 고객 1인당 평균 비용. 보통 1년 단위로 계산한다.
•
r: 고객 유지 비율 (retention rate), 즉 어떤 고객이 그 다음 해에도 여전히 고객으로 남아 있을 확률
•
i: 이자율 또는 할인율
•
AC: 고객 획득 비용 (Acquisition Cost). 고객이 첫 방문 또는 첫 구매를 하도록 하는데 드는 비용
고객 생애 가치에 영향을 주는 요소는,
•
고객이 브랜드와 얼마나 "많이" (혹은 적극적으로) 참여하고 있는지
•
그들이 브랜드에서 정기적으로 구매하는 제품의 가치
•
얼마나 자주 구매하는지
고객 생애 가치는 기업이 현재 고객층 분석과 주 고객 타겟층을 정하는데 중요한 역할을 하는데요!
새로운 고객을 유치시키는 것이 기존 고객을 유지하는 것보다 더 어렵고 비용이 많이 들기 때문에, 기업은 각 고객의 생애 가치를 높임으로써 신규 고객 유치비용을 감소시키고 기존 고객의 매출 전환율을 늘리는데에 중점을 둡니다.
플랫폼 수익성의 중요지표 - CAC
고객 획득 비용 (Customer Acquisition Cost, CAC)는 신규 고객 1명을 확보하기 위해 필요한 마케팅, 영업 비용을 의미합니다.
많은 기업과 투자자들이 주목하는 중요한 비즈니스 지표로 기업의 수익성을 측정하고 유지하기 위해 이용됩니다.
출처: ProductPlan
신규 고객 확보 비용이 기존 고객 유지 비용보다 비싼만큼 광고 공간을 위한 경쟁도 치열하고 트래픽의 증가를 위해 투자되는 시간과 비용을 잘 조절하는 것이 필수이죠.
세일즈와 마케팅에서 무작정 고객 확보를 위해 비용을 늘린다고 해서 고객이 많아지는 것이 아닌만큼, 적절한 비용을 투자하는 것과 고객 유지율을 높여 CAC를 줄이는 것이 중요합니다.
예를 들어, 같은 100만원의 비용이 들었더라도 신규 고객의 수에 따라 CAC가 달라질 수 있기 때문에, 고객 페르소나 구축과 로열티 프로그램 진행 등 고객 유지 (retention)에 집중해야합니다.
LTV
CAC 
플랫폼 수익성의 중요지표 - CPI
노출단가(Cost Per Install, CPI)는 유저가 앱을 설치할 때마다 들어가는 광고비를 말합니다.
CPI는 고객 획득 비용(CAC)과 같이 신규 고객을 유치하기 위한 마케터들의 광고 성공 여부와 효율성 평가, 그리고 예산 전략 계획에 사용되고 마케팅에 쓰인 지출을 총 앱 설치 수로 나누어 계산합니다.
예를 들어, 앱 마케팅 광고에 50만원을 지출했고 그 광고에서 150번의 설치가 이루어졌다면, 광고 CPI는 3,333원이 됩니다.
보통 신규 고객을 획득하는 데 소요된 비용보다 더 많은 수익이 발생하는지 확인하며, 신규회원 유입만 추적하기 때문에 이탈률을 계산할땐 참여도와 참여기간 등 다른 지표들도 같이 이용하는 것이 좋습니다.
설치 후 고객 전환율까지 함께 봐줘야 비용을 더 효율적으로 관리할 수 있습니다.
결국에 기업이 수익을 내는 모델은
매출을 늘리고 & LTV를 늘리고 & CAC를 낮춘다
IR 자료 만들기 - MVP
최소 기능 제품(Minimum Viable Product, MVP)는 고객의 피드백을 받아 최소한의 기능(features)을 구현한 제품입니다.
이 MVP는 두가지로 나눌 수 있는데요,
•
완성도 낮은 MVP (Low-fidelity MVP)
•
완성도 높은 MVP (High-fidelity MVP)
완성도가 낮은 MVP는 최소한의 기능으로 실제 제품의 형태만을 모방하여, 고객의 문제에 대한 유효성을 검증하고 피드백을 모으는데 주로 사용됩니다.
반면 완성도가 높은 MVP는 실제 제품에 가깝게 구현된 MVP로, 실제품에 가까운 형태로 고객의 솔루션에 대한 유효성을 검증하고 제품 판매와 고객 성장에 주로 사용됩니다.
출처: CobbleWeb. Low-fidelity MVP → High-fidelity MVP
MVP를 중심으로 개발하는 전략은 개발자들이 긴 시간과 불필요한 노력을 절약할 수 있게 도와준답니다. 이 과정에서 피드백과 제품 요구 사항을 바탕으로 제품의 초기 버전을 지속적으로 개선하면서, 시장 수요 실패 위험성을 줄이고 최소한의 비용으로 중요한 고객 정보를 얻는 것이죠.
IR 자료 만들기 - Product Market Fit (PMF)
제품 시장 적합성 (Product Market Fit, PMF)은 제품의 시장 요구와 기대 부응성을 의미합니다.
PMF의 대표적인 지표로는
•
NPS (Net Promoter Score, 서비스에 대한 추천 지수)
•
Churn rate (이탈률)
•
Retention (재방문율)
•
LTV (Lifetime Value, 고객 생애 가치)
창업가가 해결해야 할 문제를 가진 시장을 찾고, 그 문제에 부합하는 제품을 개발했을 때, 제품과 시장이 정확히 일치하면 PMF(Product Market Fit)를 달성했다고 볼 수 있습니다.
만약 제품으로 인해 유입되는 트래픽이 많고, 유료화에 성공하여 많은 유저들이 지속적으로 제품을 사용하며 돈을 지불한다면, 이는 시장에서의 문제를 효과적으로 해결한 우수한 제품을 만들었다는 증거고 거의 완벽한 PMF를 의미합니다.
출처: Dan Olsen
린 생산 방식 (Lean Production)이라고 하는 이 모델은 인력이나 생산설비 등 생산능력을 필요한 만큼만 유지하면서 생산효율을 극대화하는 시스템을 말하며, PMF를 달성하기까지의 과정을 표현해놓은 것입니다.
1.
타겟 고객 정의 및 비즈니스 모델링하기
2.
시장 검증 및 고객의 요구 사항 파악하기
3.
가치 제안 정의하기
4.
최소 기능 제품(MVP)의 기능 및 주요 특징을 정의하기
5.
MVP 프로토타입 만들기
6.
고객 확보 및 MVP 테스트하기
가치 제안 (value proposition이란 특정 고객에게 해당 제품이나 서비스가 가장 적합한 이유를 제시하고, 고객이 경쟁 제품보다 자사 제품을 선택했을 때의 만족감과 지불한 금액에 비해 얻는 혜택이 충분하다고 느끼면, 그 가치제안은 성공적이라고 볼 수 있죠.
IR의 10계명
1.
기업의 목적: 기업/사업을 하나의 선언형 문장으로 정의
2.
문제: 현재 고객이 느끼는 고충을 설명
3.
해결책: 우리 해결책이 고객에게 주는 핵심 가치를 설명
4.
왜 지금인가: 해당 분야의 역사적 진화 과정을 설명
5.
잠재적인 시장규모: 목표 고객과 관련 시장의 잠재적인 크기 명시
6.
경쟁과 대체제: 직/간접적인 경쟁자를 서술하고 경쟁에서 이길수 있는 전략을 설명
7.
비즈니스 모델: 어떻게 성장하고 수익을 낼 것인지를 설명
8.
팀: 공동 창업자들과 핵심 멤버들에 대한 설명
9.
재무: 3년 이내의 매출 계획과 예상되는 비용을 포함
10.
비전: 만약 계획대로 잘된다면 5년후에 무엇을 성취할 것인가를 제시
IR의 10계명은 실장님의 마케팅교육에 사용된 자료에서 가져왔습니다.
마무리하며,
이렇게 실장님의 월요일 마케팅교실에서 얻은 자료와 인사이트를 바탕으로 내용 일부분을 정리하였는데 간단히 기억해야 하실 몇가지 핵심포인트들을 알려드리겠습니다!
•
손익은 기업의 수익과 비용 간의 차이, 또는 투입한 금액과 지출한 금액 간의 차이로 이에 따라 이익(또는 손실)이 결정됩니다.
•
공헌이익이 중요한 이유는 생존할 수 있는 이익수준을 쉽게 알려준다.
•
매출이 나온다는 것은 손익분기점(BEP)을 달성했다는 것이고, 즉 돈을 번다는 얘기다.
•
플랫폼 수익성의 중요지표에는 LTV, CAC, CPI가 있다.
•
성공 모델은 매출을 늘리고 & LTV를 늘리고 & CAC를 낮춘다
•
최소 기능 제품(Minimum Viable Product, MVP)는 고객의 피드백을 받아 최소한의 기능(features)을 구현한 제품입니다. 완성도가 낮은 MVP와 완성도가 높은 MVP로 나뉩니다.
•
제품 시장 적합성 (Product Market Fit, PMF)은 제품의 시장 요구와 기대 부응성을 의미합니다.
감사합니다!! 











